加为收藏
设为首页
联系我们
产品名称
产品说明
所有大类
南通京通石墨设备有限公司
所有小类
挤压型石墨管规格及性能表
磷酸蒸发器
GH型浮头列管式石墨换热器
化纤酸浴液列管式石墨蒸发器
GX型列管式石墨降膜吸收器
GS型列管石墨换热器
JK/TK型块孔式石墨换热器
YKA型圆块孔式石墨换热器
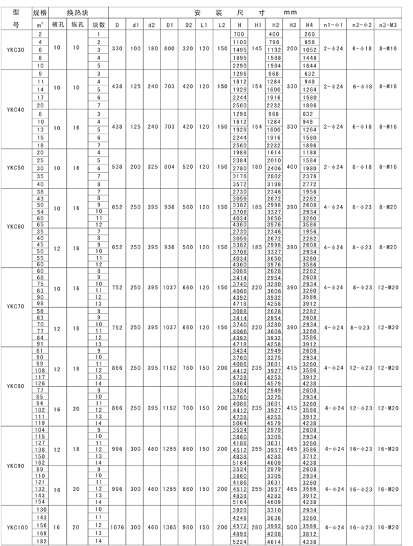
YKC系列圆块孔式石墨换热器安装尺寸表
YKX型圆块孔石墨降膜吸收器
3JK型矩形块孔式石墨换热器
石墨硫酸稀释冷却器
ZSL型正压式石墨二合一合成炉
各类石墨塔和非标设备
石墨拉西环
- 公司名称:南通京通石墨设备有限公司
- 地址:江苏省南通市通州区四安镇
- 邮编:226352
- 电话:0513-68911588 68911266
- 传真:0513-68911268
- 手机:13901483508
- 联系人:陈先生
- E-mail:info@nt-jt.com
产品展示
南通京通石墨设备有限公司
>> YKC系列圆块孔式石墨换热器安装尺寸表
产 品 说 明
网站首页
|
关于京通
|
产品展示
|
企业动态
|
信息反馈
|
联系我们
|
ENGLISH
南通京通石墨设备有限公司
地址:江苏省南通市通州区四安镇 电话:0513-68911588/ 68911266
传真:0513-68911268 E-mail:info@nt-jt.com